Let f R → R be the function f(x) = x3 x Then f ′ (x) = 3x2 1 ≥ 1 > 0, so f is strictly monotone, thus injective (onetoone) Then the limits of f at ± ∞ are respectively ± ∞, and from the continuity of f each value in between is taken Ex 12, 10 Let A = R − {3} and B = R − {1} Consider the function f A → B defined by f (x) = ((x − 2)/(x − 3)) Is f oneone and onto?My solution Let $f(x_1) = f(x_2)$ $\implies x_1^2 2x_1 = x_2^2 2x_2$
Example 9 Prove That F X 2x Is One One And Onto Chapter 1
F(x)=(x-1)(x-2)(x-3) is one one or onto
F(x)=(x-1)(x-2)(x-3) is one one or onto-To ask Unlimited Maths doubts download Doubtnut from https//googl/9WZjCW If `f(x)=(x1)/(x1)` then `f(2x)` is equal toProve that the Function F N → N, Defined by F(X) = X2 X 1, is Oneone but Not onto CBSE CBSE (Arts) Class 12 Question Papers 17 Textbook Solutions Important Solutions 24 Question Bank Solutions Concept Notes & Videos 531 Time Tables 18 Syllabus



2
Determine if f(x) = 2x 3 – 1 is a one to one function using the algebraic approach Solution Recall that for a function to be a one to one function, f(x 1) = f(x 2) if and only if x 1 = x 2 For us to check if f(x) is a one to one function, let's find the respective expressions for x 1 and x 2 first f(x 1) = 2 x 1 3 – 1 f(x 2) = 2 xCalculus Relations and Functions II 505 150 In each of the following cases, state whether the function is oneone, onto or bijective Justify your answer f R → R defined by f (x) = 3 − 4x Solution let x1To show that f is not onetoone, we need to find x1 6= x2 such that f(x1) = f(x2) However, this is straight forward we can take −1 and 1, and we get f(1) = 3·(1)2 2 = 5 = 3·(−1)2 2 = f(−1) Thus f is not onetoone 2 Onto Functions We start with a formal definition of an onto function Definition 21 Let f X → Y be a function
• If f0(x) < 0 for all x, then f is decreasing, thus onetoone Examples 8 • f(x) = x31 2 xisonetoone, since f0(x) = 3x2 1 2 > 0 for all x • f(x) = −x5−2x3−2xisonetoone, since f0(x) = −5x4 −6x2 −2 < 0 for all x • f(x) = x−πcosxisonetoone, since f0(x) = 1−sinx ≥ 0 and f0(x) = 0 only at x = π 2 2kπ 21 Example 1 f(x) = x We'll find the derivative of the function f(x) = x1 To do this we will use the formula f (x) = lim f(x 0 0) Δx→0 Δx Graphically, we will be finding the slope of the tangent line at at an arbitrary point (x 0, 1 x 1 0) on the graph of y = x (The graph of y = x 1 is a hyperbola in the same way that the graph ofSimple and best practice solution for F(x)=x^23x1 equation Check how easy it is, and learn it for the future Our solution is simple, and easy to understand, so don`t hesitate to use it as a solution of your homework If it's not what You are looking for type in the equation solver your own equation and let us solve it
Let x 1, x 2 ε D f and f(x 1) = f(x 2) =>X 1 3 = X2 3 => x 1 = x 2 ie f is oneone (injective) function For ontointo Lt x→a y = Lt x→a (x) 3 = α Lt x→a y = Lt x→a (X)3 = α Therefore y = x 3 is bijective function Illustration What kind of function does the Venn diagram in figure given below represent? Prove f(x) = x^3 3^x is a onetoone function 2 The attempt at a solution Sum of onetoone functions is a onetoone function (I think/dont know how to prove) x^3 is onetoone, 3^x is onetoone, thus f(x) is onetoone Surely there's a more rigorous proof\ (1/ (x^21)\) goes to \ (1\times { (x^21)}^ {1}\) Now you can just use the chain rule or whatever you have been taught



One To One Functions



Solved 2 0 1 2 3 0 1 4 9 P X X2 This Function Is One To One But Not Onto B Onto But Not One To One C Both One To One And O Course Hero
Solution to Question 3 A graph and the horizontal line test can help to answer the above question Since a horizontal line cuts the graph of f at 3 different points, that means that they are at least 3 different inputs x1, x2 and x3 with the same output Y and therefore f is not a one to oneDetermine if Injective (One to One) f (x)=2x3 f (x) = 2x − 3 f ( x) = 2 x 3 A function is said to be injective or onetoone if every yvalue has only one corresponding xvalue Injective (OnetoOne)That is, f(x 1) = f(x 2) implies x 1 = x 2 In other words, every element of the function's codomain is the image of at most one element of its domain The term onetoone function must not be confused with onetoone correspondence that



Show That The Function F R X R 1 R 1 Defined By F X X 1 X X R Is One One And Onto Function Hence Find F 1 X



For Each Of The Following Functions F R Rightarrow Chegg Com
Solution This manyone into function Domain = D f = {a, b, c} Codomain = {1, 2, 3} Range = R f = {1, 2} f(a) = 1 ; The graph of #f(x) = 2x^24x1# is a parabola with vertex #(1, 3)# (Use the vertex formula or put the expression in vertex form #f(x) = 2(x1)^2 3#) So with no restriction on the domain, the graph looks like graph{2x^24x1 697, 1081, 569, 32} # f(x) = (x1)(x2)(x3) # Following the general formula as "derived" above # f'(x) = (1)(x2)(x3) (1)(x1)(x3) (1)(x2)(x1) # Simplifying everything #f'(x) = (x^25x6)(x^24x3)(x^23x2) # #f'(x) = 3x^212x11# Therefore, the derivative (simplified) is #f'(x) = 3x^2



If F X X 1 X 2 X 3 F 2 3 R Is A One One Onto B An Onto Only C An Identity Function D An Into Function Only



Answered 1 Let F R R Be Defined By F X 2x Bartleby
Class 8 Mensuration Factorisation Linear Equations in One VariableUnderstanding Quadrilaterals The Making of the National Movement 1870s 1947F3x^ {2} f − 3x2 View solution steps Steps Using Derivative Rule for Sum f ( x ) x ^ { 3 } 1 f ( x) − x 3 1 The derivative of a polynomial is the sum of the derivatives of its terms The derivative of a constant term is 0 The derivative of ax^ {n} is nax^ {n1}Is x^3 x onetoone and onto?



Final Relation1 M Tech Cse



Prove That The Function F R Rightarrow R Given By Chegg Com
Expand the left hand side Answer f' (x) = (2 x)/ (1x^2)^2 Guest #2 78 0 Firstly convert the fraction into a linear equation;Start your free trial In partnership withIn mathematics, an injective function (also known as injection, or onetoone function) is a function f that maps distinct elements to distinct elements;



1 Show That The Function F R R Defined By F X 2x 3 Is One One And Onto Find F 1 Sarthaks Econnect Largest Online Education Community



1
Our online expert tutors can answer this problem Get stepbystep solutions from expert tutors as fast as 1530 minutes Your first 5 questions are on us!Simple and best practice solution for F(x)=(x1)(x3) equation Check how easy it is, and learn it for the future Our solution is simple, and easy to understand, so don`t hesitate to use it as a solution of your homework If it's not what You are looking for type in the equation solver your own equation and let us solve itHence f is not oneone Also, f is not onto for if so then for 1∈R ∃ x ∈ R such that f (x) = 1 which gives x/(x 2 1) =1 But there is no such x in the domain R, since the equation x 2 – x 1 = 0 does not give any real value of x



In Each Of The Following Cases State Whether The Function Is One One Onto Or Bijective Justify Your Answer I F R R Defined By F X 3 4x Ii F



2
The function fR>Rf (x)= (x1) (x2) (x3) check if it is one one ,onto or bijection The function fR>R f (x)= (x1) (x2) (x3) check if it is one one ,onto or bijection We will notify on your mail & mobile when someone answers this questionClearly for every value of y, x will have two different values so the function is many−one not one−one Since `1 4y^2 >= 0 => (12y)(12y)>= 0 => (1)/21 2 3\pi e x^{\square} 0 \bold{=} Go Related » Graph » Number Line » Examples » Our online expert tutors can answer this problem Get stepbystep solutions from expert tutors as fast as 1530 minutes One Time Payment $1999 USD for 3 months Weekly Subscription $199 USD per week until cancelled



Relations And Functions Class 12 Maths Chapter 1 Toppers Bulletin



If A Function F 2 Oo R Defined By F X X 1 X 2 X 3 Is
Let he function fR → R be defined by f(x) = cos x, ∀ x ∈ R Show that f is neither one one nor onto asked in Class XII Maths by rahul152 ( f(x) = 2x Checking oneone f (x1) = 2x1 f (x2) = 2x2 Putting f(x1) = f(x2) 2x1 = 2 x2 x1 = x2 Hence, if f(x1) = f(x2) , x1 = x2 ∴ function f is oneone Onto f(x) = 2x Let f(x) = y, , such that y ∈ R 2x = y x = 𝑦2 Since y is a real number, Hence 𝑦2 will also be a real number So, x will also be a real number, ie, x ∈ RIs f (x) = x2 2 onetoone?



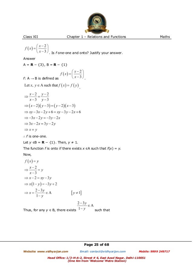
Ncert Solutions For Class 9 10 11 And 12 Let A R 3 And B R 1 Consider The Function F A B Defined By F X Is F One One And Onto Justify Your Answer



If A Function F 2 Oo R Defined By F X X 1 X 2 X 3 Is
If not, describe a domain on which it is onetoone arrow_forward Q find the domain of f (x)= 9x1 (Type your answer in interval notation) arrow_forward Q Find the domain of f (x) = 3x/ (x − 1) and discuss the behavior of f near any excluded xFor each of the following functions, f R rightarrow R state whether they are onetoone, onto, both or neither Use the following key a neither 11 nor onto b 11 but not onto c onto but not 11 d both 11 and onto = bijective = invertible 1 f (x) = e^x 2 f (x) = x^3 4 3 f (x) = x 4 f (x) = x^2 4 5 f (x) = x (x 4) (x 4) 6 f (xThe function f R → R defined by f(x) = 2x 1 is surjective (and even bijective), because for every real number y, we have an x such that f(x) = y such an appropriate x is (y − 1)/2 The function f R → R defined by f(x) = x 3 − 3x is surjective, because the preimage of any real number y is the solution set of the cubic polynomial



Let A R 3 And B R 1 Consider The Function F A B Defined By B Defined By Cbse Class 12 Maths Learn Cbse Forum



How To Prove That F X X Sqrt X 2 1 Is Injective Quora
Onto function "every y in Y is f (x) for some x in X (surjective f "covers" Y) Notice that all one to one and onto functions are still functions, and there are many functions that are not one to one, not onto, or not either Not 11 or onto fX>Y, X, Y are all the real numbers R "f (x) = x^2" 3 $\begingroup$ The answer given is that it's not because it's a parabola and hence, would fail the horizontal line test, ie, two values of $x$ will have the same value of $f(x)$ However, how can we prove the same algebraically?Algebra Determine if Injective (One to One) f (x)=1/x f (x) = 1 x f ( x) = 1 x A function is said to be injective or onetoone if every yvalue has only one corresponding xvalue



Ncert Exemplar Solutions For Class 12 Maths Chapter 1 Relations And Functions Avail Free Pdf



Let F X 2x 3 X 3 If Function F One One And Onto Is F
Then f(x) is not onetoone The reason f(x) would not be onetoone is that the graph would contain two points that have the same second coordinate – for example, (2,3) and (4,3) That would mean that f(2) and f(4) both equal 3, and onetoone functions can't assign two dierent objects in the domain to the same object of the target If Given the following function, with k as a constant, find the values of k for which f (x) = 1/ 3 x^3 2 x^2 K x is onetoone a) k greater than or equal to 4 b)> Assuming that the domain of x is R, the function is Bijective > ie it is both injective and surjective Lets see how 1 Checking for injection Injection means that the function is OneOne Let f(x1) = f(x2) => 2X1 1 = 2X2 2 => X1 = X2



F X 1 X 2 State Whether Function Is One One Onto Or Bijective



11 Discrete Structures Discrete Structures Unit 5 Ssk3003 Dr Ali Mamat Ppt Download
Definition OnetoOne (Injection) A function f A → B is said to be onetoone if f(x1) = f(x2) ⇒ x1 = x2 for all elements x1, x2 ∈ A A onetoone function is also called an injection, and we call a function injective if it is onetoone A function that is not onetoone is referred to as manytoone Chapter 2 Relations and Functions Class 11 Maths MCQ Questions with answers is available here that will help you in knowing the latest pattern of CBSE and understanding the the basic concepts of the chapter MCQ Questions for Class 11 is very useful in scoring more marks and improving knowledge 1 The domain of the function f = { (1, 3), (3, 5To ask Unlimited Maths doubts download Doubtnut from https//googl/9WZjCW If` 2f(x)3f(1/x)=x^21` then `f(x)` is



Example 11 Show F X X2 Is Neither One One Nor Onto Examples



Misc 5 Show F X X3 Is Injective Chapter 1 Class 12 Cbse
F(x) = x 3 3 x 2 2 , a one to one function? Definition 552 Onto Let T Rn ↦ Rm be a linear transformation Then T is called onto if whenever →x2 ∈ Rm there exists →x1 ∈ Rn such that T(→x1) = →x2 We often call a linear transformation which is onetoone an injection Similarly, a linear transformation which is onto is often called a surjection Explanation We have f (x) = (x 1) (x 2) (x 3) and f (1) = f (2) = f (3) = 0 which implies that f x ( ) is not onetoone For each y ∈ R , there exists x ∈ R such that f (x) = y Therefore, f is onto Hence, f R → R is onto but not onetoone Please log in or register to add a comment



Class Xii Maths Unit Relations And Functions



Check The Following Functions For One One And Onto A F R Rarr R F X 2x 3 7 B F R Rarr R F X X 1 C F R 2 Rarr R F X 3x 1 X 2 D F R 1 1 F X Sin 2 X
This function is OnetoOne This cubic function possesses the property that each xvalue has one unique yvalue that is not used by any other xelement This characteristic is referred to as being 11 Also, in this function, as you progress along the graph, every possible yvalue is used, making the function ontoExtended Keyboard Examples Upload Random Compute answers using Wolfram's breakthrough technology & knowledgebase, relied on by millions of students & professionals For math, science, nutrition, history, geography, engineering, mathematics, linguistics, sports, finance, music22 FUNCTIONS 30 bijection, if it is onetoone and onto (fig 213)For instance, f(x) = x3 from Z to Z is a bijection A B Figure 213 Bijection 224 Identity Function Given a set A, the function 1A A → A defined by 1A(x) = x for every x in A is called the identity function for A 225 Function Composition Given two functions f A → B and g B → C, the composite function



Sol 10 Prove That The Function F Rr F X X2 X Is Math



Show That Function F In A R 2 3 Defined As F X 4x 3 6x 4 Is One One And Onto Hence Find F 1 Mention Each And Every Formula And Minute Details Mathematics Topperlearning Com W22iulbb
Inverse functions Inverse Functions If f is a onetoone function with domain A and range B, we can de ne an inverse function f 1 (with domain B ) by the rule f 1(y) = x if and only if f(x) = y This is a sound de nition of a function, precisely because each value of y in the domain of f 1 has exactly one x in A associated to it by the rule y = f(x)Extended Keyboard Examples Upload Random Compute answers using Wolfram's breakthrough technology & knowledgebase, relied on by millions of students & professionals For math, science, nutrition, history, geography, engineering, mathematics, linguistics, sports, finance, musicDivide f2, the coefficient of the x term, by 2 to get \frac {f} {2}1 Then add the square of \frac {f} {2}1 to both sides of the equation This step makes the left hand side of the equation a perfect square x^ {2}\left (f2\right)x\frac {\left (f2\right)^ {2}} {4}=f\frac {\left (f2\right)^ {2}} {4}



Let A R 3 And B R 1 Consider The Function F A B Defined By F X X 2 X 3 Show That F Is One One And Onto And Hence Find F 1



Show That The Function F R To R Defined By F X X X2 1 For All X Belongs To R Is Neither One One Nor Onto Also If G R To



Q17 Show That The Function F N N Given By F 1 F 2 1 And F X X 1 For Every X Gt 2 Brainly In



2 12 F R 3 2 R 10 X 1 3 2x G R 21 R 1o G X 1 X 2 H R 4 3 R 1 3 H X F O G X Verify If H X Is One To One And Onto If It Is Find The Inverse



Let X 1 2 3 Y 1 2 3 4 And Z L 2 Define Chegg Com



Maths Important Questions For 18



State Which Of The Following Are One One And Onto Function F R Gtr Defined By F X 2x 1 Youtube



Let A R 3 And B R 1 Dot Consider The Function F Avecb Defined By F X X 2 X 3 Dot Show That F Is One One And Onto And Hence Find F 1



Ex 1 2 10 F X X 2 X 3 Is F One One Onto Class 12



2



2



Misc 4 Show F X X 1 X Is One One Onto Miscellaneous



Ex 1 2 5 Show Signum Function Is Neither One One Nor Onto



Show That The Function F R R Defined By F X X X 2 1 X R Is Neither One One Nor Onto Sarthaks Econnect Largest Online Education Community



Topics Covered19 Macm 101 List Of Sections Covered



Example 11 Show F X X2 Is Neither One One Nor Onto Examples



Misc 4 Show F X X 1 X Is One One Onto Miscellaneous



Show That The Function F R X R 1 X 1 Defined By F X X 1 X X R Cbse Class 12 Maths Learn Cbse Forum



1



The Function F R Gt 1 2 1 2 Defined As F X X 1 X 2 Is Youtube



How To Prove That F X X Sqrt X 2 1 Is Injective Quora



Ppt Basic Structures Sets Functions Sequences And Sums Powerpoint Presentation Id



Example 11 Show F X X2 Is Neither One One Nor Onto Examples



Discrete Maths Hw3 Solutions



2



11 Discrete Structures Discrete Structures Unit 5 Ssk3003 Dr Ali Mamat Ppt Download



8 10 Points Consider Functions F G H Defined Chegg Com



If F 1 0 E 5 Defined By F X E X 3 3x 2 Is One One Onto Many One Onto One One Into Many One Into Give Answer With Explanation Maths Relations And Functions Meritnation Com



Pdf 01 Sets Relations And Functions Himanshu Gautam Academia Edu



Ex 1 2 10 F X X 2 X 3 Is F One One Onto Class 12



Show That The Function F In A R 2 3 Defined As F X 4x 3 6x 4 Is One One And Onto Hence Find F 1 Sarthaks Econnect Largest Online Education Community



2



Show That The Function F R R Defined By F X 1 X Is One One And Onto Where R Is The Set Of All Non Zero Real Numbers Cbse Class 12 Maths



Example 9 Prove That F X 2x Is One One And Onto Chapter 1



The Function F R R Defined By F X X 1 X 2 X 3 Is A One One But Not Onto B Onto But Not One One C Both One One And Onto D Neither One One Nor Onto



2



Functions Sequences Sums Countability Zeph Grunschlag Copyright Zeph



12 Onto State Whether The Function F Is Bijective Just Math



Show That The Function F R R Defined By F X X X 2 1 X R Is Neither One One Nor Onto Sarthaks Econnect Largest Online Education Community



Mathematics Session Set Relation Function Session Ppt Download



Define A Function F R Rightarrow R By Is F Chegg Com



2



The Function F R R F X X 1 X 2 X 3 Check If It Is One One On Askiitians



Show That The Function F R R F X X 2 Is Neither One One Nor Onto



Prove That The Function F Nn Defined By F X X2 X 1 Is One One But Not Onto Maths Relations And Functions Meritnation Com



Exercise 1 4 Types Of Functions Problem Questions With Answer Solution Mathematics



Ex 1 2 10 F X X 2 X 3 Is F One One Onto Class 12



Let A R 3 And B R 1 Dot Consider The Function F Avecb Defined By F X X 2 X 3 Show That F Is One One And Onto And Hence Find F 1



Chapter 1 Relations And Functions



Let A R 3 And B R 1 Dot Consider The Function F Avecb Defined By F X X 2 X 3 Dot Show That F Is One One And Onto And Hence Find F 1



2



Inverse Trigonometric Functions Class Ncert Solutions



2



31 A A B C D X 1 2 3 4 The Function Fa X Is Chegg Com



Show That The Function F R R Defined By F X 3x 3 5 For All X In R Is A Bijection Youtube



The Function F R R Defined By F X X 1 X 2 X



Let A R 3 And B R 1 Consider The Function F A B Defined By F X X 2 X 3 Is F One One And Onto Justify Your Answer



11 The Function F R Rightarrow R Defined As N F X X 1 X 2 X 3



In Each Of The Following Cases State Whether The Function Is One One Onto Or Bijective Justify Your Answer Cbse Class 12 Maths Learn Cbse Forum



If The Function F R 1 1 To A Definded By F X X 2 1 X 2 Is Surjective Youtube



11 Discrete Structures Discrete Structures Unit 5 Ssk3003 Dr Ali Mamat Ppt Download



6 A Let F R R Be The Function Defined By F X Chegg Com



01 A I Is The Function F R R Defined By Y Chegg Com



Q Tbn And9gcsmm4ktmxrxm10kmsg3wqo5rzire Ogwbm0v2tajixhbesgniod Usqp Cau



2



Example 12 Show That F X X 1 If X Is Odd X 1 If X Is Even



Exercise Pdf Pdf Function Mathematics Trigonometric Functions



F 0 1 3a 0 1 3 F X Is Obtained From X By Replacing The Middle Bit With 1 For Example F 100 110 Fill In The G



Relations And Functions Class 12 Maths Chapter 1 Toppers Bulletin



12 Onto State Whether The Function F Is Bijective Just Math



Iit Jee Archives Page 10 Of 14 Esaral



For The Functions Below Show If The Function Is Chegg Com



Q Tbn And9gcq3k4crna5aowbckdwotcepc7srb Ubkhdcqsvwzwhqp8plminb Usqp Cau



State Whether The Function Is One One Onto Or Bijective F R R Defined By F X 1 X2 Brainly In



Relations And Functions Class 12 Maths Chapter 1 Toppers Bulletin



State Whether The Function F R R Defined By F X 1 X 2 Is One One Onto Or Bijective


0 件のコメント:
コメントを投稿